Calculated en gemeten fase samenstellingen: De samenstellingen van de c-en c-phase (&cc en cc&) in de vier onderzochte legeringen werden gemeten met 3D APT (ERBO 1) [36] en TEM-EDX (ERBO 15 en Derivaten) [32]. De experimentele resultaten voor de twee fasen worden gepresenteerd in tabellen 7 (C-fase) en 8 (C-&-fase). Tabellen 7 en 8 ThermoCalc voorspellingen verkregen temperaturen bij 1143 K (temperatuur van tweedeneerslag behandelingsstap voor legeringen), bevatten ook bij 1413 K en 1583 K (ERBO/1; temperatuur van eersteneerslag behandelingstrap en homogenisering, respectievelijk) en 1313 K en 1583 K (ERBO/15 varianten; temperatuur van eerste precipitatiebehandeling stap en homogenisatie, respectievelijk). Aangezien de C-Phase een kleinere volumefractie vertoont dan de C-phase, worden wijzigingen in de chemische samenstelling&meer uitgesproken. In Fig. 10 en 11, wij presentemische composities voor de C-phase van Tabel 7 als cirkeldiagrammen. Figuur 10 toont experimentele gegevens, die in alle vier de hitte-treated legeringen werden gemeten voorafgaand aan kruip. ThermoCalc voorspellingen verkregen voor c-phases van ERBO/1 (1143, 1413 en 1583 K) en ERBO/15 (1143, 1313 en 1583 K) worden in fig. 11.
- gegevens in Tabel 7 en Fig. 10 en 11 (c-phase) en tabel 8 (c-phase, gepresenteerde gegevens&zonder afbeeldingen) blijkt dat stijgende temperaturen leiden tot toenemende hoeveelheden Ti, Al en Ta en gelijktijdig afnemende hoeveelheden Cr, Co, W en Re voor ERBO/1 in de C-phase. Zoals blijkt uit de ThermoCalc resultaten in fig. 11, wordt de hoeveelheid van het basiselement Ni toeneemt met toenemende temperatuur ERBO/1. Daarentegen vermindert met toenemende temperatuur ERBO/15.The thermodynamic gegevens voor de c-en c-phases&Tabel 7 (en fig. 10 en 11) en Tabel 8 respectievelijk tonen verder dat de ThermoCalc gegevens van 1143 K (temperatuur van de laatste precipitatiebehandeling experimentele legeringen) en experimenteel bepaalde gegevensniet volledig eens maar redelijk dicht bij elkaar beide legeringsystemen. Alleen bij ERBO/15, het element Mo toont een significant lagere waarde in de berekening bij 1143 K (1,0 at.%) Dan in het experiment (4.4at.%).
Discussion elastische stijfheden. Zoals te zien is in figuur 6a-c zijn alle elastische stijfheid afnemen met toenemende temperatuur. Dit is voornamelijk een gevolg van de anharmoniciteit van het roosterpotentieel. Met toenemende temperatuur toenemende thermische trillingen leiden tot grotere bindingsafstanden, die leiden tot een afname van binding interacties en dus een verlaging van elastische stijfheden. De elastische gedrag van ERBO/1 en ERBO/15 bijna identiek, Where, als resultaat van de slankere ERBO/15 varianten voor c11 en c12 iets te kort. Dit beïnvloedt de elastische moduli e \\ 100niet significant [, die allemaal heel dichtbij zijn (Fig. 6D). Zoals blijkt uit Tabel 9, afzonderlijke legeringselementen SX in grootte, kristalstructuur, Young's modulus, elektronegativiteit en smeltpunt [48-51]. Figuur 6D laat zien dat de wijzigingen in de legeringscheikunde die in het huidige werk worden beschouwd,niet sterk van invloed zijn op elastische eigenschappen. Dit is in overeenstemming met de conclusies getrokken door Dembro¨der et al. [41], die toonde aan dat zelfs grotere variaties van legeringssamenstellingen dan in het huidige werk overwogen, beïnvloeden de elastische eigenschappen van SXniet sterk. Het elastische gedrag van een enkel kristal weerspiegelt rechtstreeks de anisotropie van zijn verlijmingssysteem. Dit laatste wordt voornamelijk geregeld door type, aantal en ruimtelijke opstelling van de dichtstbijzijnde-neighbor-contacten in de kristalstructuur. Aangezien de structuur van Ni-kantel SX (met c/c '-microstructuren) en hun belangrijkste chemische samenstelling ([62 bij.-% Ni, [11 aan.-% Al) verschilt slechts licht interacties worden gedomineerd door Ni-Ni en Ni-Al contacten, wat leidt tot slechts kleine variaties van de macroscopische elastische stijfheden [42].
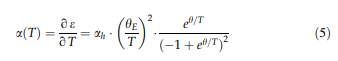
Thermal expansie en c-solvus temperaturen&: Thermische uitzetting wordt geassocieerd met deneiging van een materiaal om het volume te veranderen bij toenemende temperatuur. In een kristal wordt dit geassocieerd met een toenemende vibrationele energie van de atomen en deniet--harmonische vorm van het roosterpotentieel. Volgens de GRU¨-Neisen-relatie is Aðtþ evenredig met de warmtecapaciteit; derhalve kan de thermische belasting eðTÞ worden described door een geïntegreerde vorm van de Einstein model [52, 53]:
e0 vertegenwoordigt de initiële rek bij 0 K, ah geeft de hoge-temperature grens van de thermische uitzettingscoëfficiënt, en hij is het equivalent van de Einstein temperatuur. De eerste afgeleidenaar de temperatuur geeft de thermische uitzettingscoëfficiënt:

Functietitel: Product manager
afdeling: Market Department
Bedrijfstelefoon: +86 021-59150215
E-mail: Neem contact met ons op
Mobiele telefoon: +86 13817160919
Website: lanzhusuperalloy.invipb2b.com
Adres: No. 2800 Caoxin Road, Xuhang Town, Jiading District, Shanghai