Introduction
- belangrijke richting in trilling diagnostiek van luchtvaart gasturbinemotoren en turbomachines is diagnostics door middel van modellering. Modelleren geeft een mogelijkheid om de aanwezigheid van sommige soorten defecten verbinden met tekenen van zijn aanwezigheid in het trillingssignaal. Een van deze gebreken is crack verschijning in de schachten van vliegtuigen en turbomachines dat is ontoelaatbaar. Dus de belangrijkste taak van het diagnostische systeem is om crack tijdig op te sporen en te voorspellen de voortgang ervan.
Appearance scheur in de rotor leidt tot plaatselijke stijfheid verlagen. Waarde van stijfheid verliezen hangt af van geometrische kenmerken van crack. Als statische belasting zoals gewicht wordt uitgeoefend, crack opent en sluit wanneer de rotor roteert. Daardoor verandert de stijfheid as per cyclus. Scheur in het rotorsysteem leidt tot de following veranderingen in trillingssignaal [1]:
·increase amplitude van 1x harmonische van rotatiesnelheid door de groei statische afbuiging veroorzaakt door stijfheid afname.
·appearance 2x component rotatiesnelheid als gevolg van asymmetrische rotor stijfheid.
·appearance van 3х component rotatiesnelheid als gevolg van cyclisch openen en sluiten van crack.
De belangrijkste taak van het wiskundige model is beschrijving van de waarde en de wet van de lokale verandering in stijfheid in
het plaats where crack vindt plaats te overwegen omdat zoveel mogelijk factoren.
Er zijn verschillende manieren om te simuleren crack. In de meest eenvoudige gevallen scheur wordt gesimuleerd door afname van radiale stijfheid van de gehele as [2,3,4]. In de andere gevallen het schachtdeel, Where spleet plaatsvindt, is replace, d door een equivalente balkelement. Coëfficiënten van stijfheid matrix van dergelijke elementen worden berekend rekening houdend crack en wisseling per cyclus. Werkenden [5] berekend stijfheidsmatrix van het balkelement met crack is gebaseerd op het gebruik van traagheidsmomenten van het balkdeel gezien crack. In het werk [6] stijfheidsmatrix van een dergelijk element wordt berekend op basis van vergelijkingen van de mechanica vernietiging massieve organen. Scheur kan worden gesimuleerd door elastische verbinding tussen grensgedeelten van de schacht in de plaats van de locatie en het geven van de spleet schip stijfheid [7,8].
Wijzig in crack stijfheid afhankelijk van de openen en sluiten, terwijl de rotor roteert kan mathematisch worden beschreven op verschillende manieren. In het eenvoudigste geval kan worden aangenomen dat scheur heeft twee standen: volledig opened of geheel gesloten en stapfunctie kan worden toegepast op de stijfheid wijzigen mathematisch [4]beschrijven.
work [3] beschrijft de verspreiding modellen stijfheid veranderen. Een van hen is Gasch vergelijking. Change
in stijfheid plaatsvindt afhankelijk van de hoek tussen de fase van statische kracht en crack fase en beschreven 17 harmonischen van Fourier-reeks. Hetzelfde artikel geeft Maes&Davies vergelijking Where stijfheid verandert afhankelijk van de invalshoeknaar cosinuswet. Veranderingen Yang model stijfheid door de cosinus wet mate van relatieve crack diepte.
Dit artikel ontwikkelt de scheur model op basis van existed benaderingen en stelt ook de methodologie dat de mogelijkheid om hoogtepunt borden gebruikt om zijn conditie op te sporen voor de exacte rotor geeft.
Het algoritme is opgenomen in de dynamiek R4 softwareprogramma [9], watneerkomt op de speciale
system berekening dynamische gedrag van complexe rotorsystemen.
Crack model
within de aanvaarde simulatie conceptie, barst in de schacht model wordt vervangen door een elastische koppeling verdelen van de schacht in twee secties en beschrijven van stijfheidsmatrix met veranderlijk coëfficiënten. Als er geen scheuren, stam compatibiliteit toestand tussen de delen van de asdelen geschiedt, zodat de onderlinge verplaatsingen verboden. We introduceren het roterende coördinatensysteem ηOε liggend in de spleet omgeving, figuur 1. De oorsprong samenvalt met de oorsprong van het coördinatenstelsel XYZ. De as voert twee ontwerp - goede rotatie en precessie rond Z-as. Bij het beschrijven scheur beschouwen we alleen rotatie rond η en ε assen. Verplaatsingen in andere vrijheidsgraden verwaarloosd.
figure 1. Crack sectie
Flexibility matrix van de verbinding simuleren scheur in het roterende coördinatensysteem kan worden geschreven als following:
where q =j-b -verschil in fasen, j -as rotatiehoek een -precessiehoek; gee (q) gHH (q )-variabele coefficients van schip flexibiliteit.
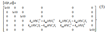
Flexibility afhankelijk hoekqomdat terwijl de as draait, spleet opent en sluit. Stijfheidsmatrix wordt verkregen door inversie van de[GR(q)]matrix, ennul flexibiliteit coëfficiënten de hoofddiagonaal leiding gesteld van de stijfheidcoëfficiëntennaar oneindigheid. We grenswaarde van dergelijke stijfheid coëfficiënten 1е10 N/m; deze veronderstelling geen invloed significant resultaat, dus we krijgen
Stiffness matrix wordt omgezet in het coördinatenstelsel met de volgende vergelijking:
prode[T]-rotatiematrix (4), WhereC1=cos (j)s1=sin (j)
vermenigvuldigen matrices in overeenstemming met de vergelijking (3) verkrijgen we:.
Wij voeren een aantal transformaties dat de kans om door te geven aan de eenvoudigere beschrijving van de scheur stiffness matrix en het algoritme van de coëfficiënten verkrijgen geven. In overeenstemming met de Maes model, het may worden dat radiale flexibiliteit van de cirkelvormige straal met crack veranderingen van minimum tot maximum waarde cosinuswet.
prodeg0-flexibiliteit van de bundel zonder spleet (minimumwaarde)GC-flexibiliteit van de bundel met open crack (maximumwaarde).
We vervangen barst door een scharnier met even stijfheid kinit mh . De bundel randvoorwaarden moet zijn biedenstatical definieerbaarheid zoals getoond in Figuur 2.
figure 2 . Vervanging van de barst door scharnier
Druk radiale flexibiliteit van gemarkeerde gedeelte van de buis met open barst wordt verkregen als:
whereE-Young modulus,I-diametrale traagheidsmoment van de asstomp, kinit mh - coëfficiënt ogenblik stijfheid van een equivalente verbinding overeenkomt met geheel open spleet.

Functietitel: Product manager
afdeling: Market Department
Bedrijfstelefoon: +86 021-59150215
E-mail: Neem contact met ons op
Mobiele telefoon: +86 13817160919
Website: lanzhusuperalloy.invipb2b.com
Adres: No. 2800 Caoxin Road, Xuhang Town, Jiading District, Shanghai